Was Heisst Auf Rechnung

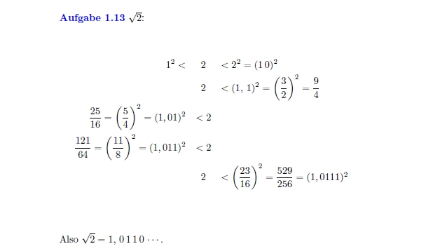
Quadratwurzeln Wie Kommt Es Zur Rechnung Reelle Zahlen Binare

Eingangsrechnung Ausgangsrechnung Einfach Erklart

Kleinunternehmer Rechnung Richtig Erstellen Mit Muster

Rechnungen Leicht Gemacht Die Rechnungsvorschriften 2 1 Was Ist

Muss Man Die Ware Wieder Zuruck Senden Online Shop Dhl Wish