Scheitelpunktform A Berechnen

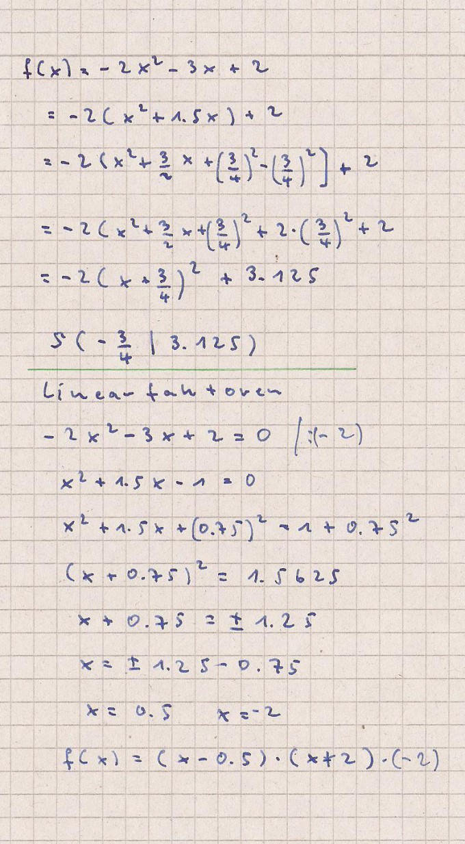
Polynomdarstellung In Linearfaktordarstellung Und

Losungen Parabel Durch 3 Punkte I Mathe Brinkmann

Nullstelle Aus Scheitelpunkt Form Berechnen Mathelounge

Scheitelpunkt Ablesen Berechnen Youtube

Online Rechner Zur Umrechnung Einer Quadratischer Gleichungen Von